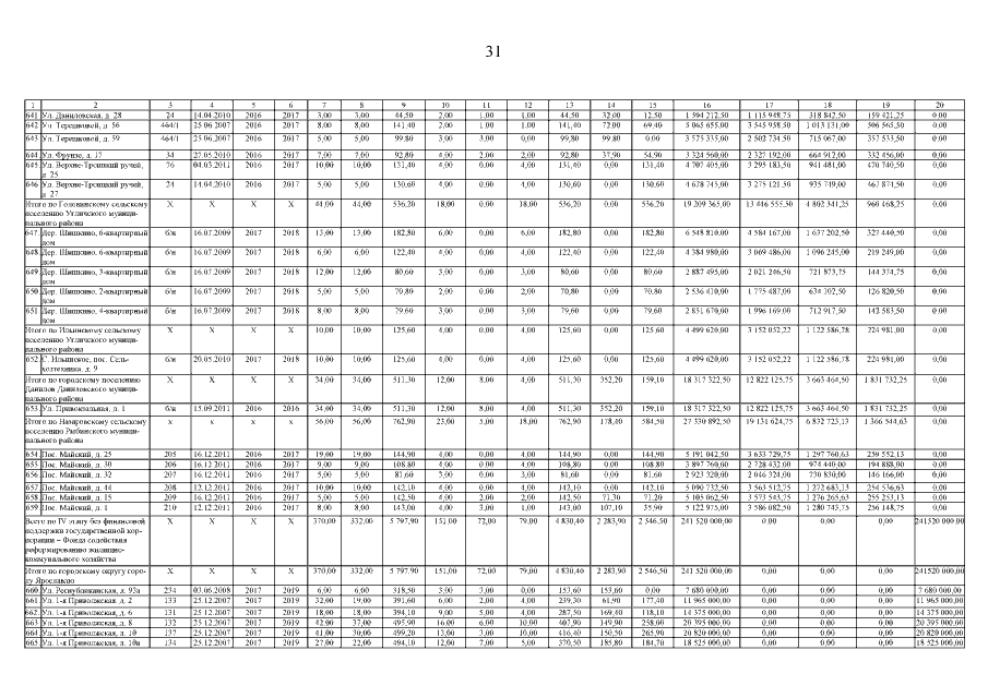
Постановление Правительства Ярославской области от 11.03.2015 № 245-п
"О внесении изменений в постановление Правительства области от 22.04.2013 № 432-п"
"О внесении изменений в постановление Правительства области от 22.04.2013 № 432-п"
Номер опубликования: 7600201503130020
Дата опубликования:
13.03.2015
