Официальное опубликование правовых актов
ОФИЦИАЛЬНОЕ ОПУБЛИКОВАНИЕ
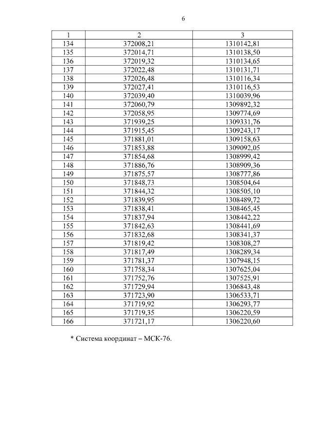
Постановление Правительства Ярославской области от 06.03.2015 № 241-п
"О выделении зон ограниченного хозяйственного использования, об утверждении Положения о заказнике "Козьмодемьянский" и о внесении изменений в постановление Администрации области от 15.12.2003 № 247 и постановления Правительства области от 01.07.2010 № 460-п, от 03.10.2014 № 977-п"
Номер опубликования: 7600201503110025
Дата опубликования: 11.03.2015
Страница №115 из 168:
Увеличить