Официальное опубликование правовых актов
ОФИЦИАЛЬНОЕ ОПУБЛИКОВАНИЕ
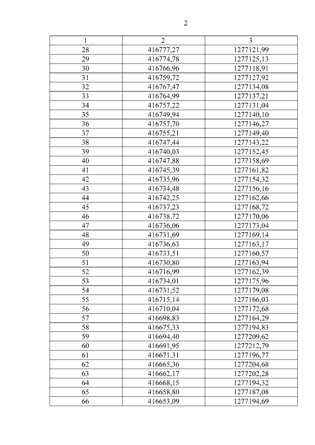
Постановление Правительства Ярославской области от 05.03.2015 № 228-п
"Об утверждении границы охранной зоны объекта газораспределительной сети "Сооружение, назначение: газопровод, протяженность 2181 м, лит. А, А1"
Номер опубликования: 7600201503110016
Дата опубликования: 11.03.2015
Страница №4 из 7:
Увеличить