Официальное опубликование правовых актов
ОФИЦИАЛЬНОЕ ОПУБЛИКОВАНИЕ
Постановление Правительства Ярославской области от 05.03.2015 № 220-п
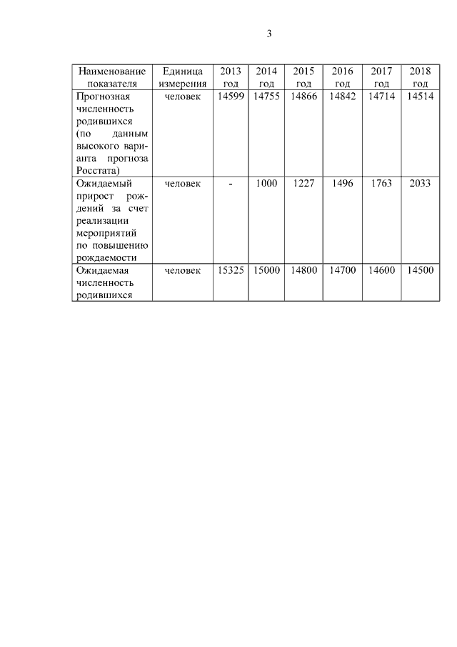
"Об утверждении Регионального плана мероприятий ("дорожной карты") по повышению рождаемости в Ярославской области"
Номер опубликования: 7600201503110011
Дата опубликования: 11.03.2015
Страница №4 из 25:
Увеличить