Постановление Правительства Ярославской области от 05.03.2015 № 231-п
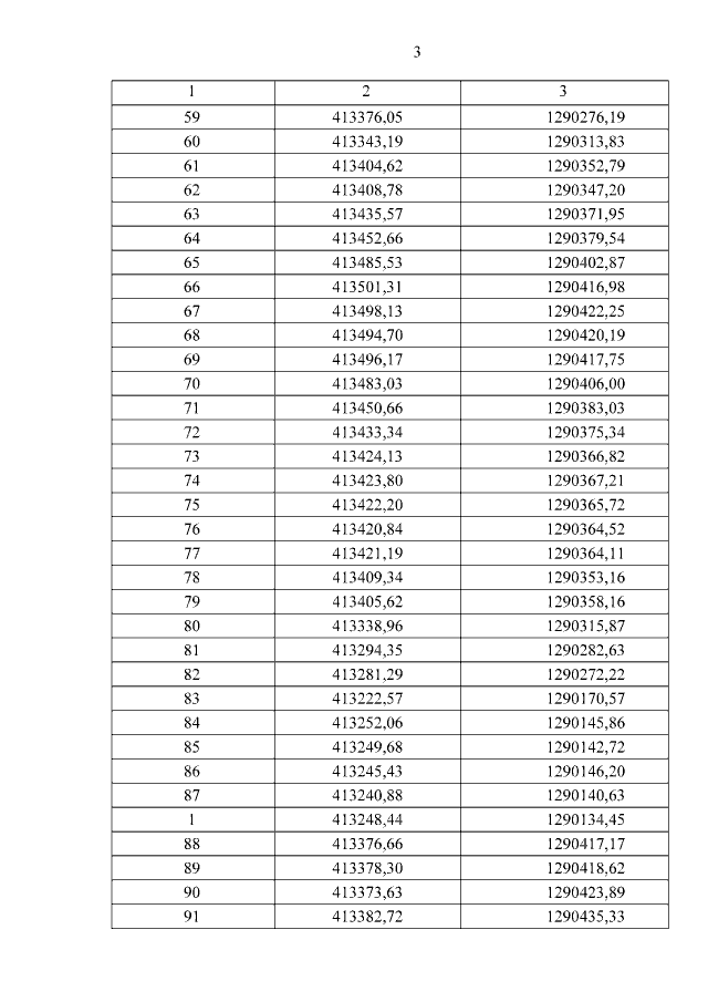
"Об утверждении границы охранной зоны объекта газораспределительной сети "Газопровод низкого давления, назначение: газопровод, протяженность 796 м"
"Об утверждении границы охранной зоны объекта газораспределительной сети "Газопровод низкого давления, назначение: газопровод, протяженность 796 м"
Номер опубликования: 7600201503110007
Дата опубликования:
11.03.2015
