Официальное опубликование правовых актов
ОФИЦИАЛЬНОЕ ОПУБЛИКОВАНИЕ
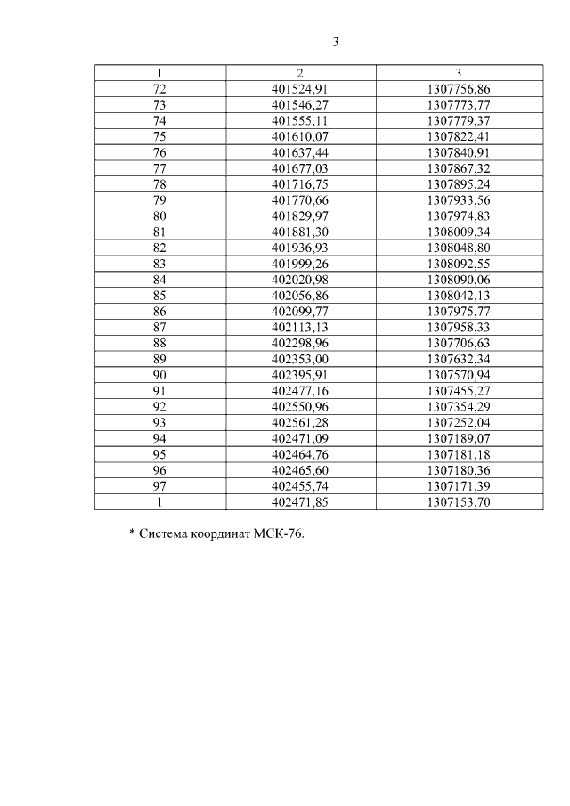
Постановление Правительства Ярославской области от 26.02.2015 № 168-п
"Об утверждении границы охранной зоны объекта газораспределительной сети "Подземный газопровод высокого давления от газораспределительной станции до газораспределительного пункта – 1"
Номер опубликования: 7600201502270016
Дата опубликования: 27.02.2015
Страница №5 из 5:
Увеличить