Официальное опубликование правовых актов
ОФИЦИАЛЬНОЕ ОПУБЛИКОВАНИЕ
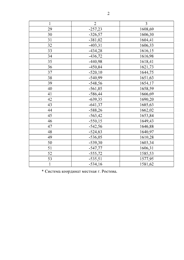
Постановление Правительства Ярославской области от 26.02.2015 № 171-п
"Об утверждении границы охранной зоны объекта газораспределительной сети "Газопровод высокого и низкого давления"
Номер опубликования: 7600201502270014
Дата опубликования: 27.02.2015
Страница №4 из 4:
Увеличить