Официальное опубликование правовых актов
ОФИЦИАЛЬНОЕ ОПУБЛИКОВАНИЕ
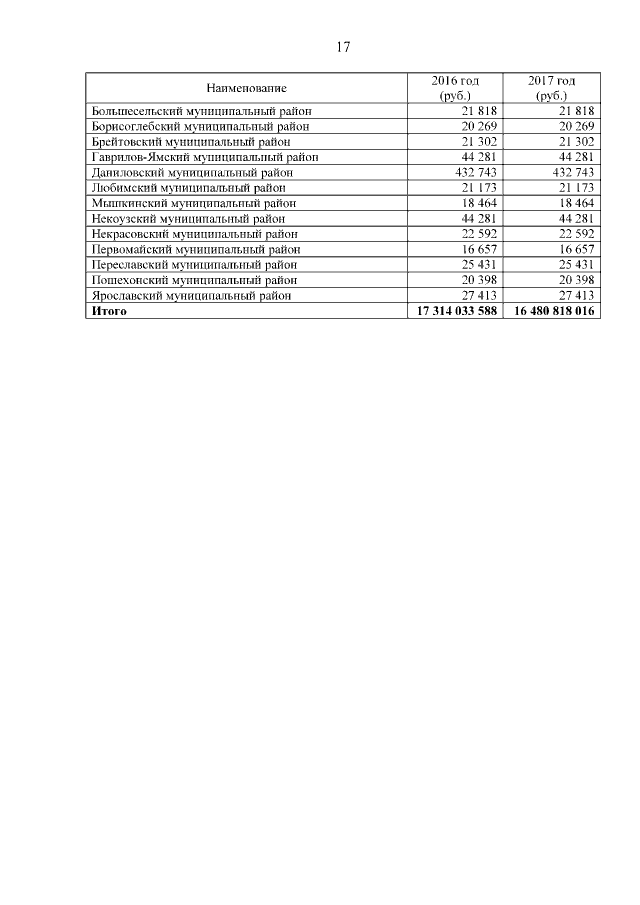
Закон Ярославской области от 25.12.2014 № 85-з
"Об областном бюджете на 2015 год и на плановый период 2016 и 2017 годов"
Номер опубликования: 7600201412310035
Дата опубликования: 31.12.2014
Страница №231 из 247:
Увеличить