Постановление Правительства Ярославской области от 26.12.2014 № 1389-п
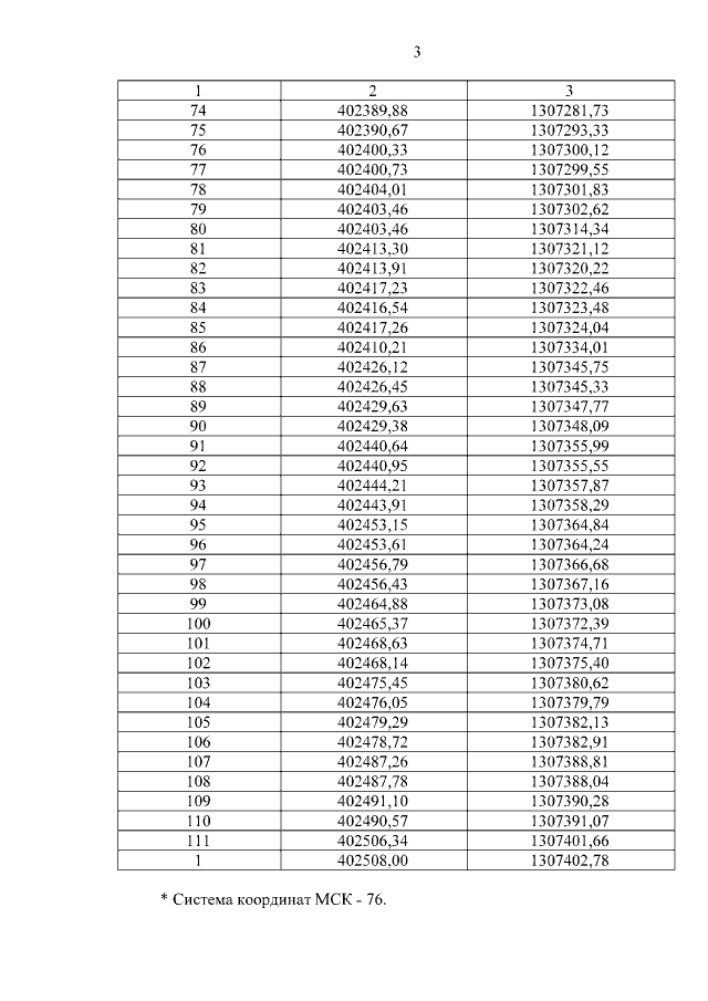
"Об утверждении границы охранной зоны объекта газораспределительной сети "Газопровод низкого давления"
"Об утверждении границы охранной зоны объекта газораспределительной сети "Газопровод низкого давления"
Номер опубликования: 7600201412310003
Дата опубликования:
31.12.2014
