Официальное опубликование правовых актов
ОФИЦИАЛЬНОЕ ОПУБЛИКОВАНИЕ
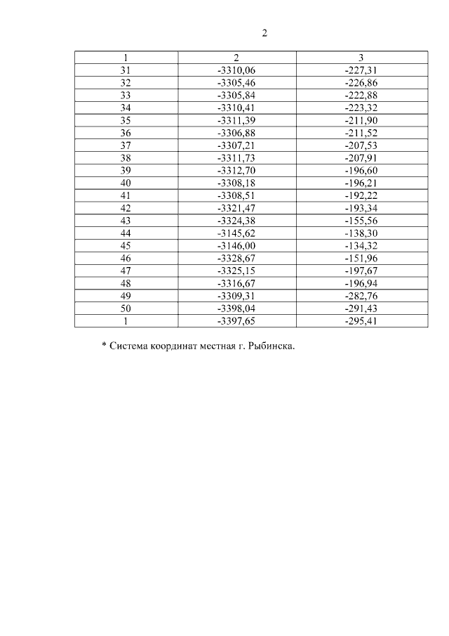
Постановление Правительства Ярославской области от 12.12.2014 № 1300-п
"Об утверждении границы охранной зоны объекта газораспределительной сети "Газопровод низкого давления, назначение: газопровод, протяженность 501 м, лит. А"
Номер опубликования: 7600201412170001
Дата опубликования: 17.12.2014
Страница №4 из 4:
Увеличить