Официальное опубликование правовых актов
ОФИЦИАЛЬНОЕ ОПУБЛИКОВАНИЕ
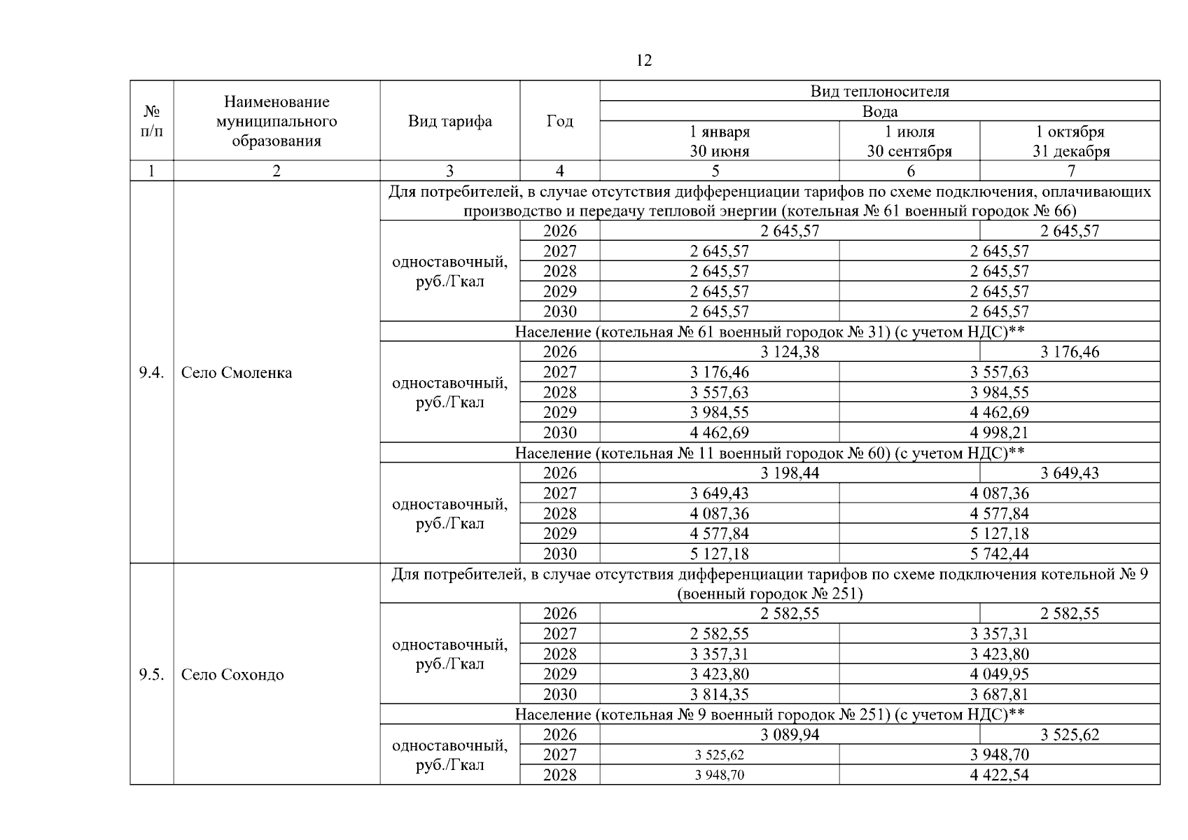
Приказ Региональной службы по тарифам и ценообразованию Забайкальского края от 19.12.2025 № 670-НПА
"Об установлении долгосрочных тарифов на тепловую энергию (мощность), поставляемую Федеральным государственным бюджетным учреждением "Центральное жилищно-коммунальное управление" Министерства обороны Российской Федерации потребителям на территории Забайкальского края, на 2026-2030 годы"
(Зарегистрирован 23.12.2025 № 1041-75-2025)
Номер опубликования: 7501202512310051
Дата опубликования: 31.12.2025
Страница №12 из 13:
Увеличить