Официальное опубликование правовых актов
ОФИЦИАЛЬНОЕ ОПУБЛИКОВАНИЕ
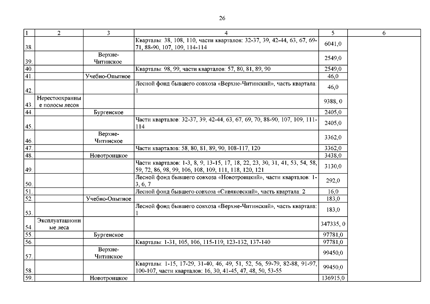
Приказ Министерства природных ресурсов Забайкальского края от 30.10.2025 № 48-н/п
"О внесении изменений в лесохозяйственный регламент Верхне-Читинского лесничества, утвержденный приказом Министерства природных ресурсов Забайкальского края от 26 декабря 2018 года № 73-н/п (в редакции приказа Министерства природных ресурсов Забайкальского края от 11 ноября 2020 года № 48-н/п, приказа Министерства природных ресурсов Забайкальского края от 31 октября 2022 года № 80-н/п)"
(Зарегистрирован 30.10.2025 № 706-75-2025)
Номер опубликования: 7501202511070013
Дата опубликования: 07.11.2025
Страница №26 из 153:
Увеличить