Официальное опубликование правовых актов
ОФИЦИАЛЬНОЕ ОПУБЛИКОВАНИЕ
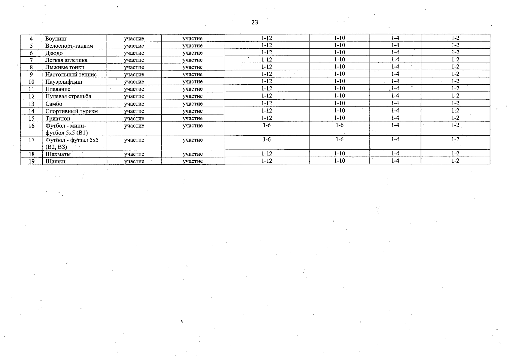
Приказ Министерства физической культуры и спорта Забайкальского края от 10.10.2025 № 17-нпа
"Об утверждении общих принципов и критериев формирования списков кандидатов в спортивные сборные команды Забайкальского края и порядок утверждения этих списков"
(Зарегистрирован 10.10.2025 № 645-75-2025)
Номер опубликования: 7501202510150002
Дата опубликования: 15.10.2025
Страница №23 из 26:
Увеличить