Официальное опубликование правовых актов
ОФИЦИАЛЬНОЕ ОПУБЛИКОВАНИЕ
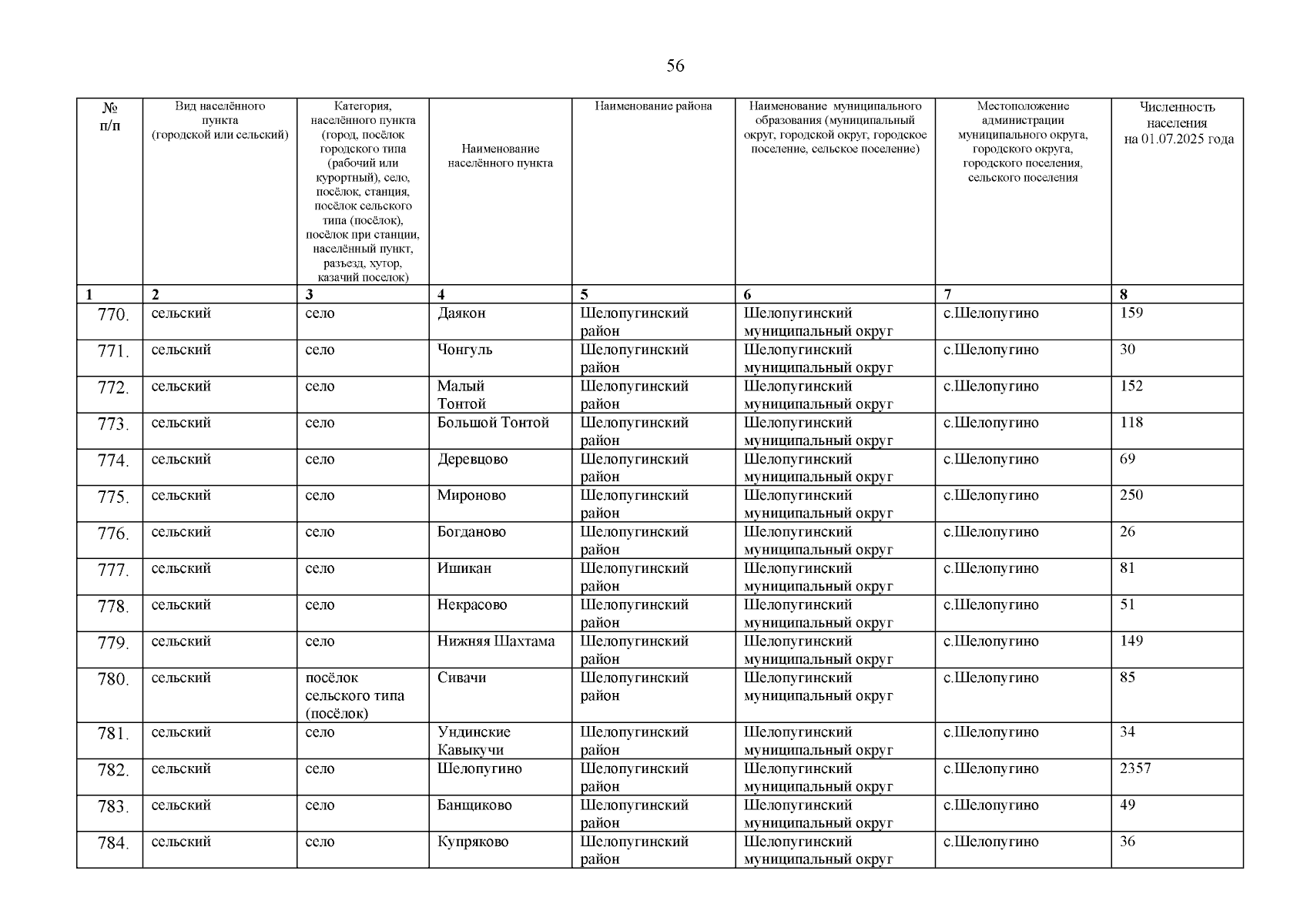
Приказ Министерства строительства, дорожного хозяйства и транспорта Забайкальского края от 24.06.2025 № 9 - НПА
"Об утверждении перечня малых населенных пунктов Забайкальского края"
(Зарегистрирован 24.06.2025 № 391-75-2025)
Номер опубликования: 7501202506260003
Дата опубликования: 26.06.2025
Страница №56 из 60:
Увеличить