Официальное опубликование правовых актов
ОФИЦИАЛЬНОЕ ОПУБЛИКОВАНИЕ
Приказ Министерства природных ресурсов Забайкальского края от 13.12.2024 № 74-н/п
"О внесении изменений в лесохозяйственный регламент Петровск-Забайкальского лесничества, утвержденный приказом Министерства природных ресурсов Забайкальского края от 26 декабря 2018 года № 77-н/п (в редакции приказа Министерства природных ресурсов Забайкальского края от 11 ноября 2020 года № 59-н/п, приказа Министерства природных ресурсов Забайкальского края от 31 октября 2022 года № 90-н/п)"
(Зарегистрирован 13.12.2024 № 1211-75-2024)
Номер опубликования: 7501202412200004
Дата опубликования: 20.12.2024
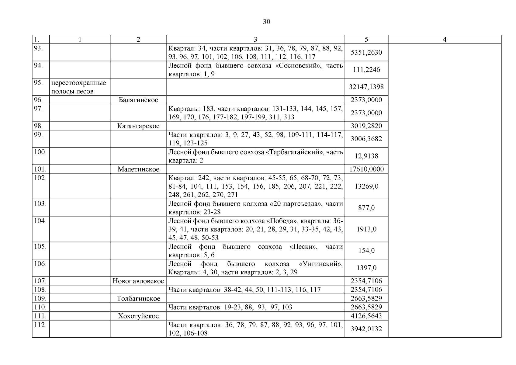
Страница №30 из 159:
Увеличить