Официальное опубликование правовых актов
ОФИЦИАЛЬНОЕ ОПУБЛИКОВАНИЕ
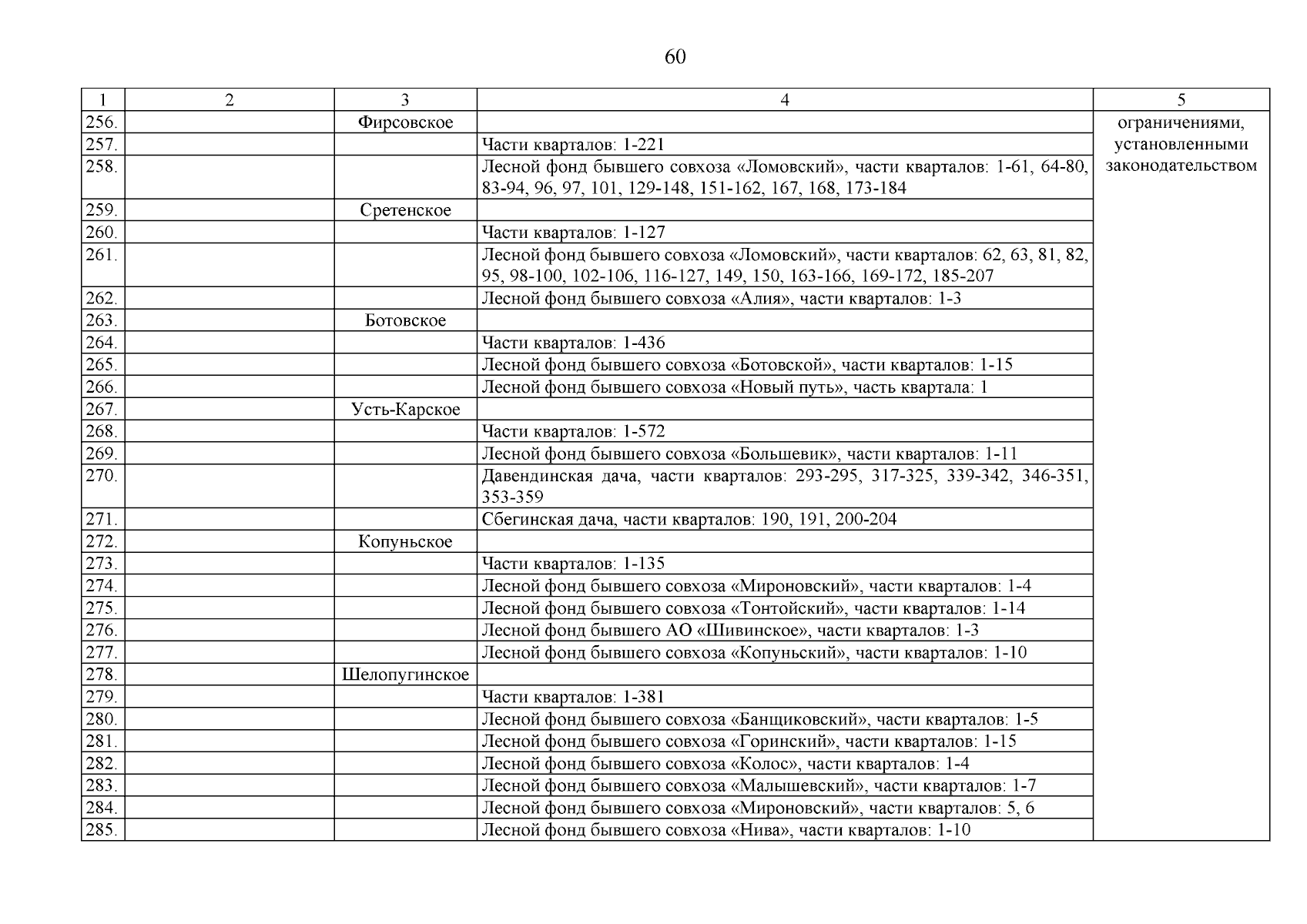
Приказ Министерства природных ресурсов Забайкальского края от 16.12.2024 № 76-н/п
"О внесении изменений в лесохозяйственный регламент Сретенского лесничества, утвержденный приказом Министерства природных ресурсов Забайкальского края от 29 декабря 2018 года № 94-н/п (в редакции приказа Министерства природных ресурсов Забайкальского края от 11 ноября 2020 года № 60-н/п, приказа Министерства природных ресурсов Забайкальского края от 31 октября 2022 года № 91-н/п)"
(Зарегистрирован 16.12.2024 № 1213-75-2024)
Номер опубликования: 7501202412190006
Дата опубликования: 19.12.2024
Страница №60 из 171:
Увеличить