Официальное опубликование правовых актов
ОФИЦИАЛЬНОЕ ОПУБЛИКОВАНИЕ
Приказ Региональной службы по тарифам и ценообразованию Забайкальского края от 13.11.2024 № 389-НПА
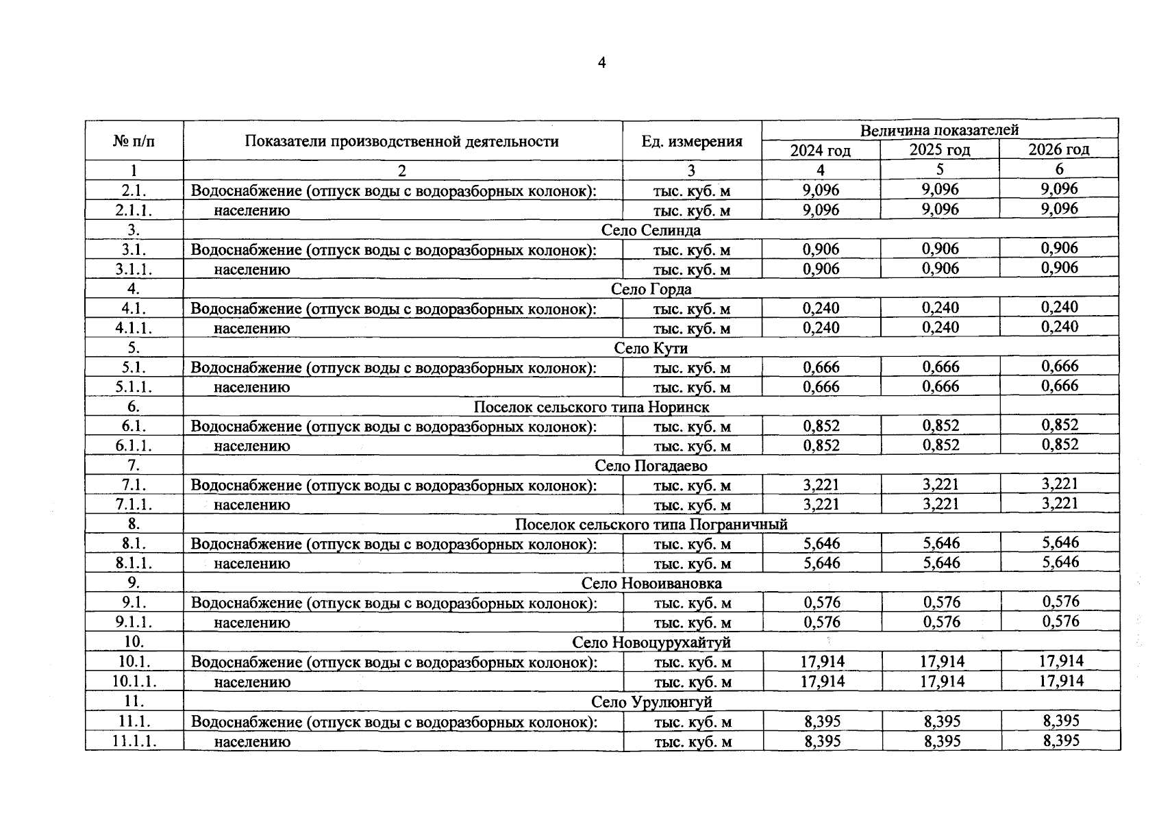
"О корректировке долгосрочных тарифов на питьевую воду (питьевое водоснабжение) для МБУ "Служба МТО", осуществляющего на территории Приаргунского муниципального округа Забайкальского края деятельность в сфере водоснабжения"
(Зарегистрирован 19.11.2024 № 968-75-2024)
Номер опубликования: 7501202411270017
Дата опубликования: 27.11.2024
Страница №4 из 6:
Увеличить