Официальное опубликование правовых актов
ОФИЦИАЛЬНОЕ ОПУБЛИКОВАНИЕ
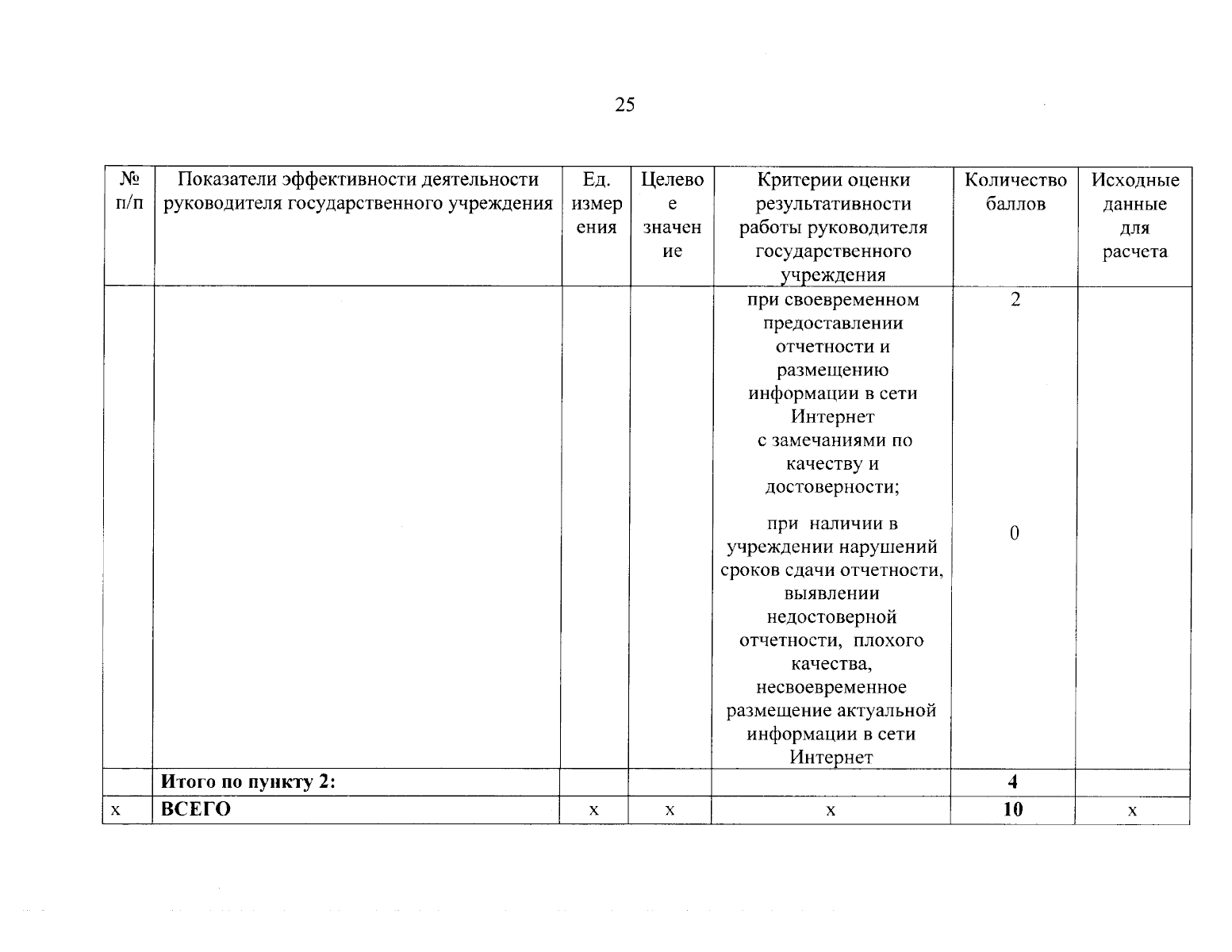
Приказ Министерства труда и социальной защиты населения Забайкальского края от 15.05.2024 № 646
"О внесении изменений в Приложение № 6 к Положению об оплате труда руководителей государственных учреждений социального обслуживания и занятости населения Забайкальского края, их заместителей и главных бухгалтеров"
(Зарегистрирован 15.05.2024 № 369-75-2024)
Номер опубликования: 7501202405150002
Дата опубликования: 15.05.2024
Страница №25 из 26:
Увеличить