Официальное опубликование правовых актов
ОФИЦИАЛЬНОЕ ОПУБЛИКОВАНИЕ
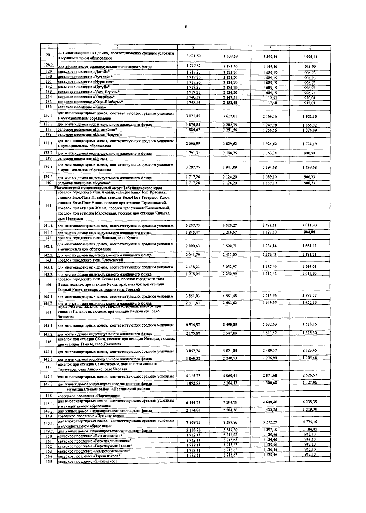
Приказ Министерства жилищно-коммунального хозяйства, энергетики, цифровизации и связи Забайкальского края от 14.03.2024 № 8-НПА
"О региональном стандарте стоимости жилищно-коммунальных услуг"
(Зарегистрирован 14.03.2024 № 172-75-2024)
Номер опубликования: 7501202403190006
Дата опубликования: 19.03.2024
Страница №6 из 24:
Увеличить