Официальное опубликование правовых актов
ОФИЦИАЛЬНОЕ ОПУБЛИКОВАНИЕ
Приказ Министерства труда и социальной защиты населения Забайкальского края от 16.02.2024 № 234
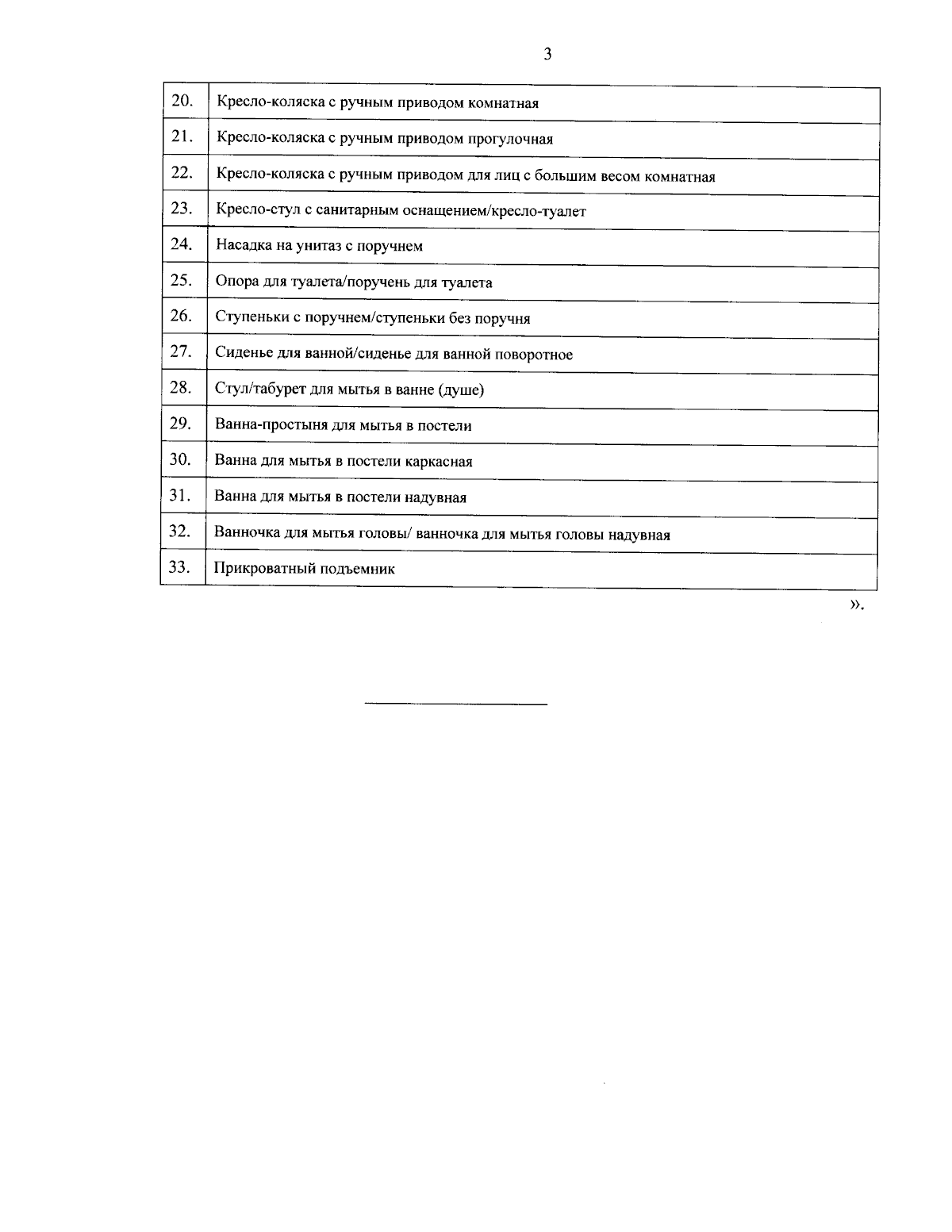
"О внесении изменения в Приложение № 2 к Примерному положению о пункте проката технических средств реабилитации"
(Зарегистрирован 16.02.2024 № 92-75-2024)
Номер опубликования: 7501202402190012
Дата опубликования: 19.02.2024
Страница №3 из 3:
Увеличить