Официальное опубликование правовых актов
ОФИЦИАЛЬНОЕ ОПУБЛИКОВАНИЕ
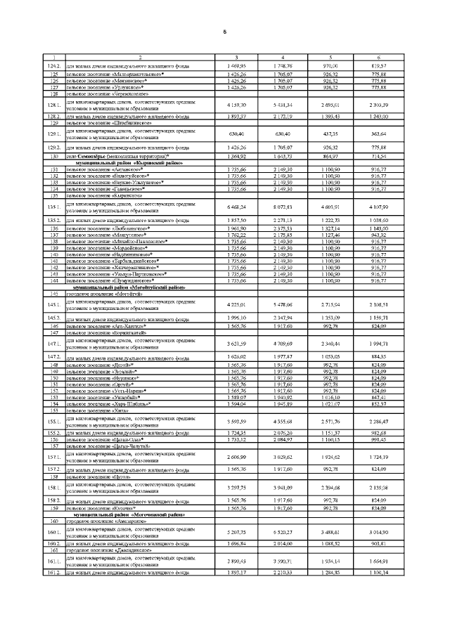
Приказ Министерства жилищно-коммунального хозяйства, энергетики, цифровизации и связи Забайкальского края от 03.02.2023 № 1-НПА
"О региональном стандарте стоимости жилищно-коммунальных услуг"
Номер опубликования: 7501202302070002
Дата опубликования: 07.02.2023
Страница №6 из 23:
Увеличить