Официальное опубликование правовых актов
ОФИЦИАЛЬНОЕ ОПУБЛИКОВАНИЕ
Приказ Региональной службы по тарифам и ценообразованию Забайкальского края от 11.10.2022 № 313-НПА
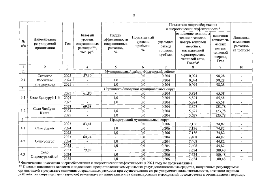
"Об установлении тарифов на тепловую энергию (мощность) и горячую воду в открытой системе теплоснабжения (горячее водоснабжение), поставляемые Федеральным государственным казенным учреждением "Пограничное управление Федеральной службы безопасности Российской Федерации по Забайкальскому краю" потребителям на территории муниципальных районов "Город Краснокаменск и Краснокаменский район", "Калганский район", Нерчинско-Заводского муниципального округа, Приаргунского муниципального округа Забайкальского края, на 2023-2025 годы"
Номер опубликования: 7501202210190001
Дата опубликования: 19.10.2022
Страница №9 из 9:
Увеличить