Официальное опубликование правовых актов
ОФИЦИАЛЬНОЕ ОПУБЛИКОВАНИЕ
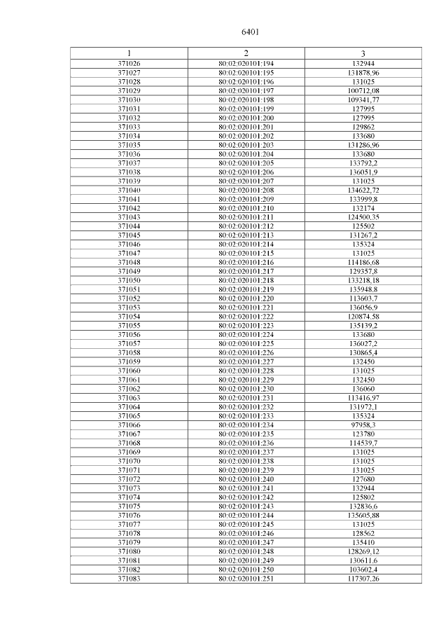
Приказ Департамента государственного имущества и земельных отношений Забайкальского края от 03.10.2022 № 41/НПА
"Об утверждении результатов определения кадастровой стоимости земельных участков, расположенных на территории Забайкальского края"
Номер опубликования: 7501202210040008
Дата опубликования: 04.10.2022
Страница №6401 из 6676:
Увеличить