Официальное опубликование правовых актов
ОФИЦИАЛЬНОЕ ОПУБЛИКОВАНИЕ
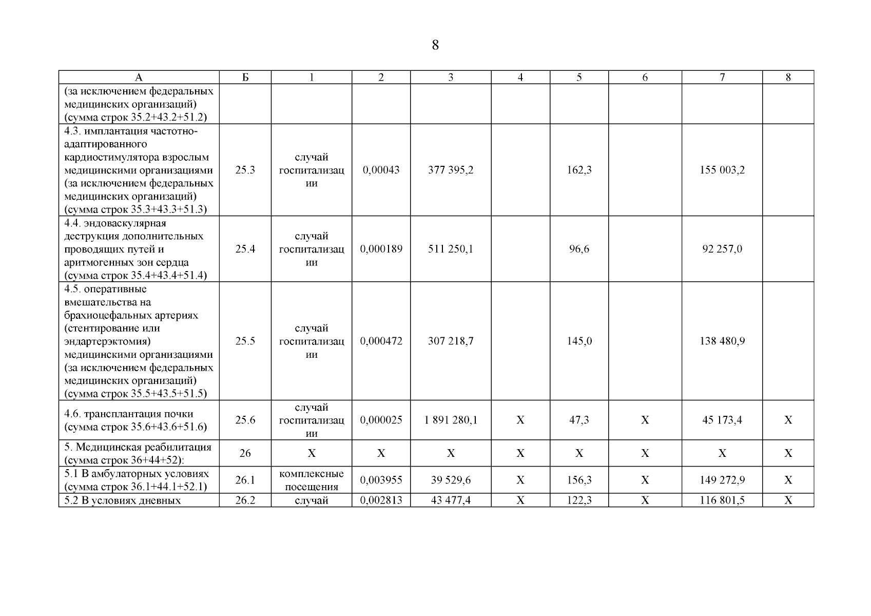
Постановление Правительства Забайкальского края от 30.12.2025 № 832
"Об утверждении Территориальной программы государственных гарантий бесплатного оказания гражданам медицинской помощи на территории Забайкальского края на 2026 год и на плановый период 2027 и 2028 годов"
Номер опубликования: 7500202512310003
Дата опубликования: 31.12.2025
Страница №288 из 384:
Увеличить