Официальное опубликование правовых актов
ОФИЦИАЛЬНОЕ ОПУБЛИКОВАНИЕ
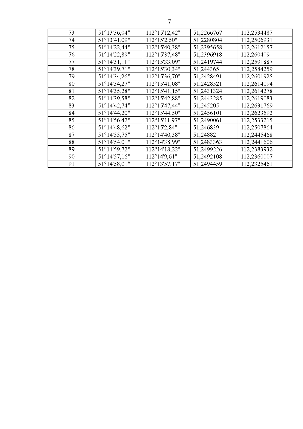
Постановление Губернатора Забайкальского края от 09.07.2025 № 80
"Об установлении охранной зоны особо охраняемой природной территории регионального значения – памятника природы "Озеро Доронинское содовое"
Номер опубликования: 7500202507100015
Дата опубликования: 10.07.2025
Страница №7 из 11:
Увеличить