Официальное опубликование правовых актов
ОФИЦИАЛЬНОЕ ОПУБЛИКОВАНИЕ
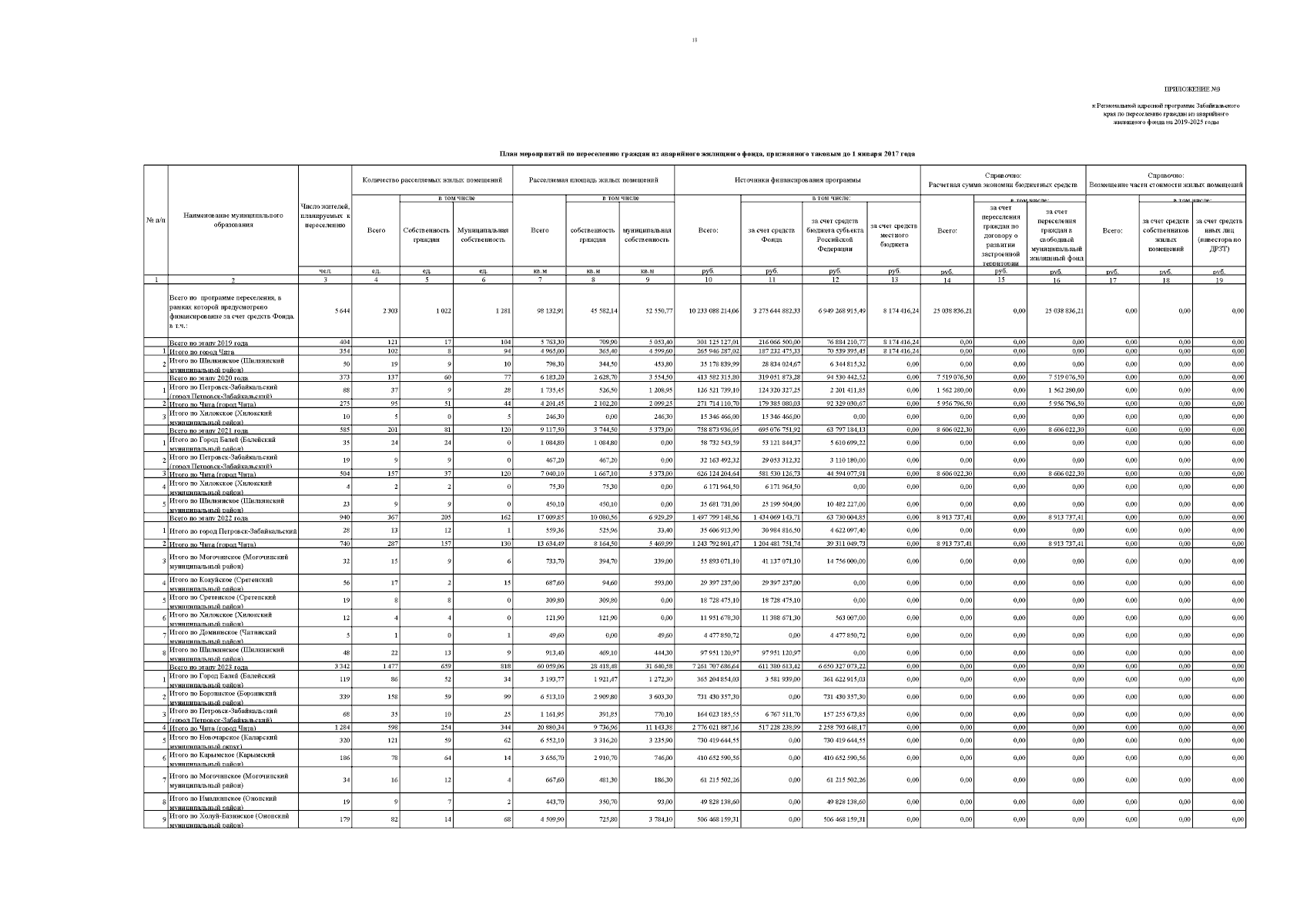
Постановление Правительства Забайкальского края от 18.02.2025 № 68
"О внесении изменений в Региональную адресную программу Забайкальского края по переселению граждан из аварийного жилищного фонда на 2019–2025 годы"
Номер опубликования: 7500202502190001
Дата опубликования: 19.02.2025
Страница №18 из 22:
Увеличить