Официальное опубликование правовых актов
ОФИЦИАЛЬНОЕ ОПУБЛИКОВАНИЕ
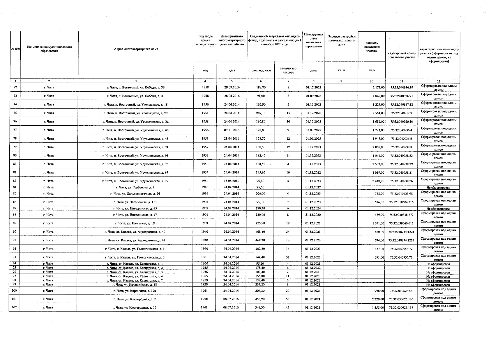
Постановление Правительства Забайкальского края от 31.07.2024 № 377
"О внесении изменений в Региональную адресную программу Забайкальского края по переселению граждан из аварийного жилищного фонда на 2019–2025 годы"
Номер опубликования: 7500202408010007
Дата опубликования: 01.08.2024
Страница №7 из 22:
Увеличить