Официальное опубликование правовых актов
ОФИЦИАЛЬНОЕ ОПУБЛИКОВАНИЕ
Постановление Правительства Забайкальского края от 31.05.2024 № 264
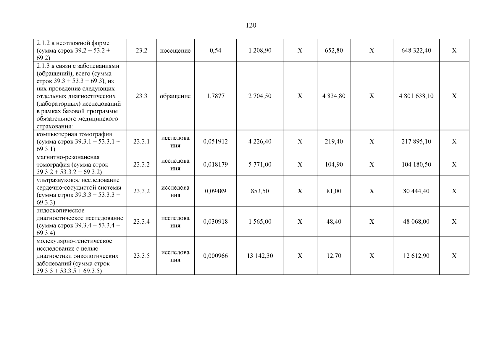
"О внесении изменений в Территориальную программу государственных гарантий бесплатного оказания гражданам медицинской помощи на территории Забайкальского края на 2024 год и на плановый период 2025 и 2026 годов"
Номер опубликования: 7500202406030003
Дата опубликования: 03.06.2024
Страница №120 из 141:
Увеличить