Официальное опубликование правовых актов
ОФИЦИАЛЬНОЕ ОПУБЛИКОВАНИЕ
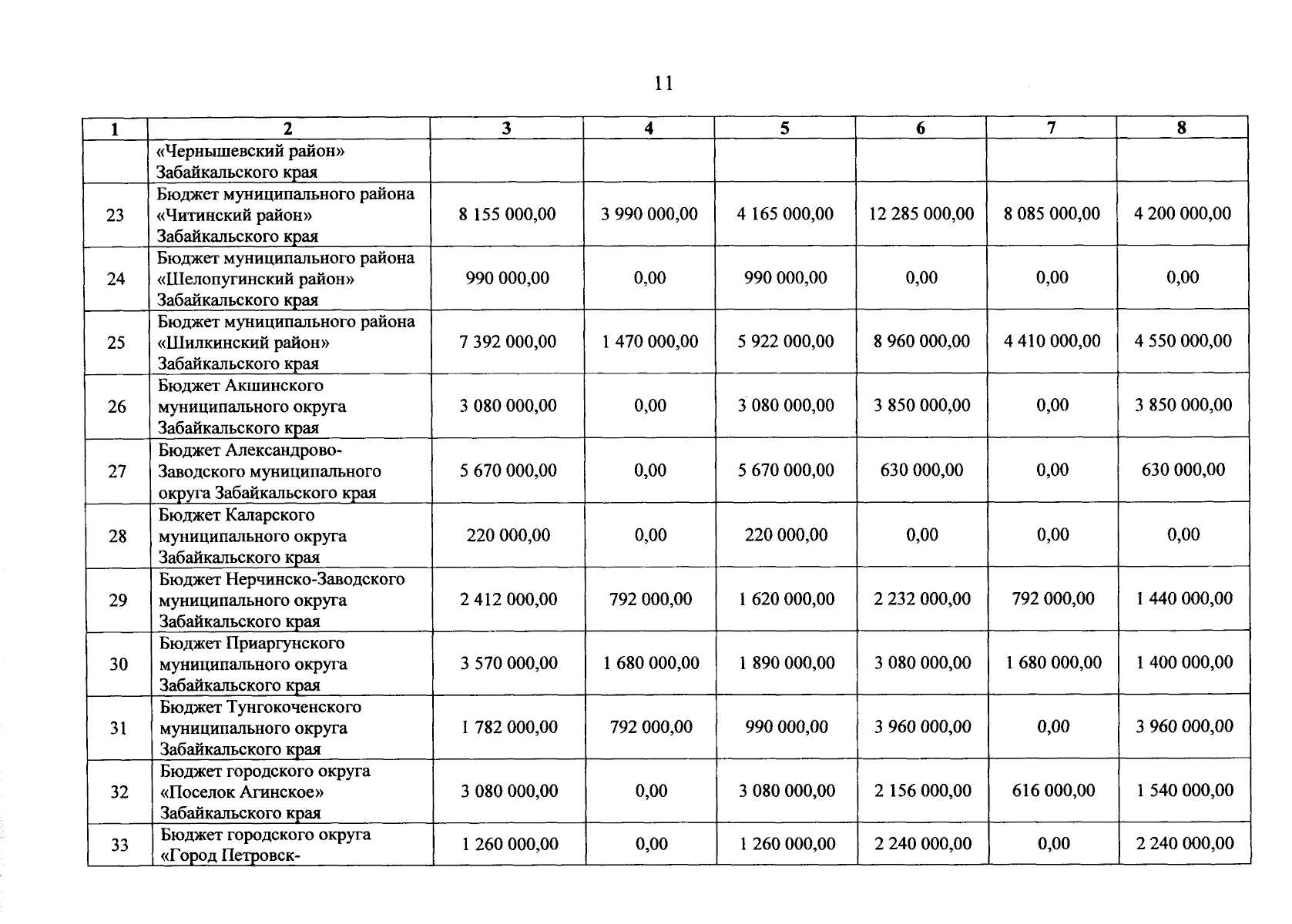
Постановление Правительства Забайкальского края от 29.09.2023 № 534
"О бюджетных ассигнованиях, направляемых на финансовое обеспечение отдельных мероприятий в 2023-2025 годах"
Номер опубликования: 7500202310050005
Дата опубликования: 05.10.2023
Страница №11 из 12:
Увеличить