Официальное опубликование правовых актов
ОФИЦИАЛЬНОЕ ОПУБЛИКОВАНИЕ
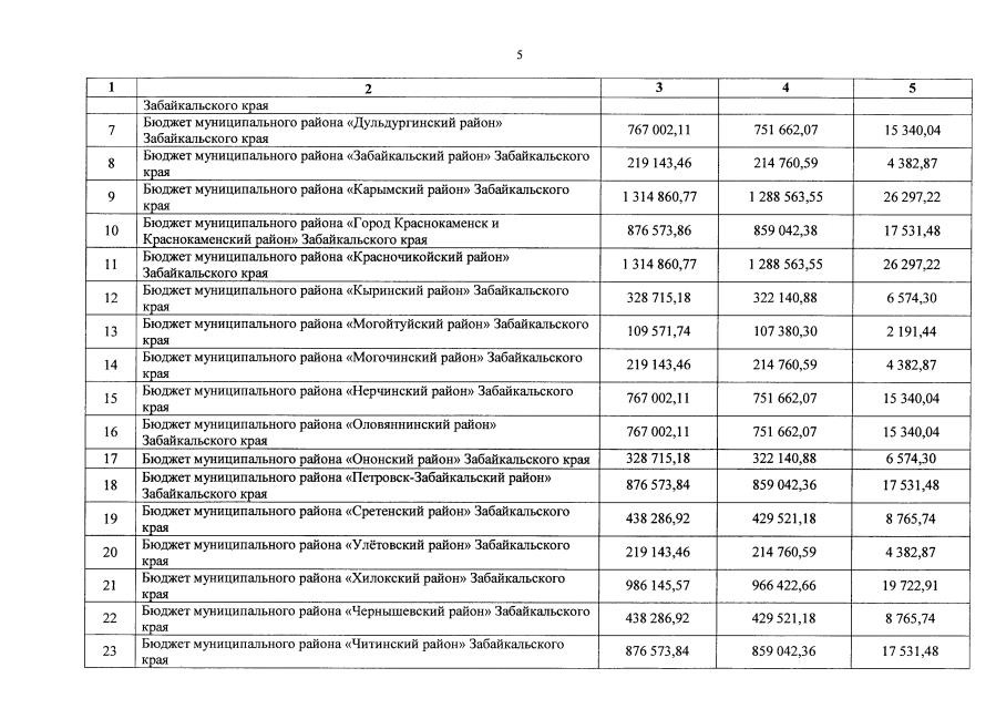
Постановление Правительства Забайкальского края от 15.12.2022 № 621
"О бюджетных ассигнованиях, направляемых на финансовое обеспечение проведения мероприятий по обеспечению деятельности советников директора по воспитанию и взаимодействию с детскими общественными объединениями в общеобразовательных организациях в 2022 году"
Номер опубликования: 7500202212150001
Дата опубликования: 15.12.2022
Страница №5 из 6:
Увеличить