Официальное опубликование правовых актов
ОФИЦИАЛЬНОЕ ОПУБЛИКОВАНИЕ
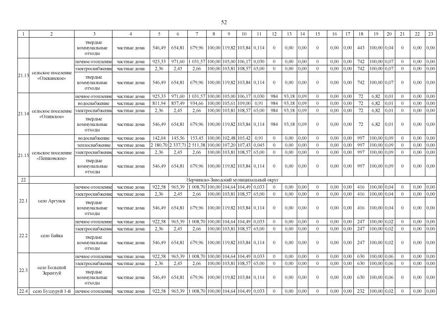
Постановление Губернатора Забайкальского края от 28.11.2022 № 76
"О внесении изменений в постановление Губернатора Забайкальского края от 15 декабря 2021 года № 104"
Номер опубликования: 7500202212060005
Дата опубликования: 06.12.2022
Страница №52 из 92:
Увеличить