Официальное опубликование правовых актов
ОФИЦИАЛЬНОЕ ОПУБЛИКОВАНИЕ
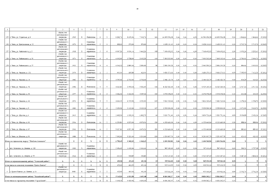
Постановление Правительства Забайкальского края от 21.10.2022 № 488
"О внесении изменений в Региональный краткосрочный план реализации Региональной программы капитального ремонта общего имущества в многоквартирных домах, расположенных на территории Забайкальского края, на период 2020-2022 годов"
Номер опубликования: 7500202210240001
Дата опубликования: 24.10.2022
Страница №45 из 83:
Увеличить