Официальное опубликование правовых актов
ОФИЦИАЛЬНОЕ ОПУБЛИКОВАНИЕ
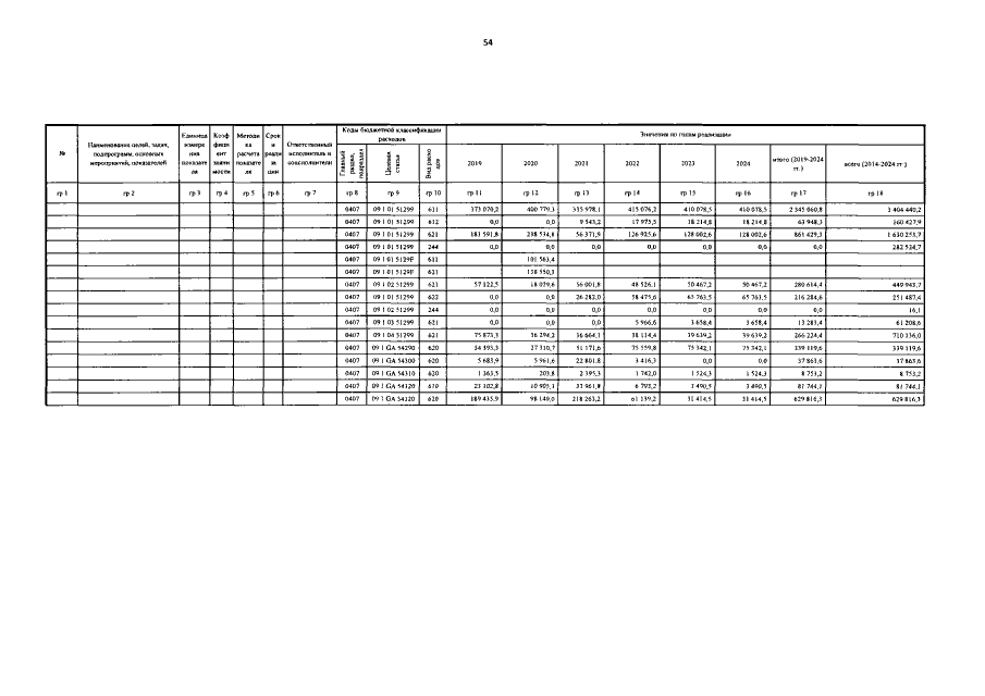
Постановление Правительства Забайкальского края от 06.08.2021 № 293
"О внесении изменений в государственную программу Забайкальского края "Развитие лесного хозяйства Забайкальского края"
Номер опубликования: 7500202108090004
Дата опубликования: 09.08.2021
Страница №54 из 77:
Увеличить