Официальное опубликование правовых актов
ОФИЦИАЛЬНОЕ ОПУБЛИКОВАНИЕ
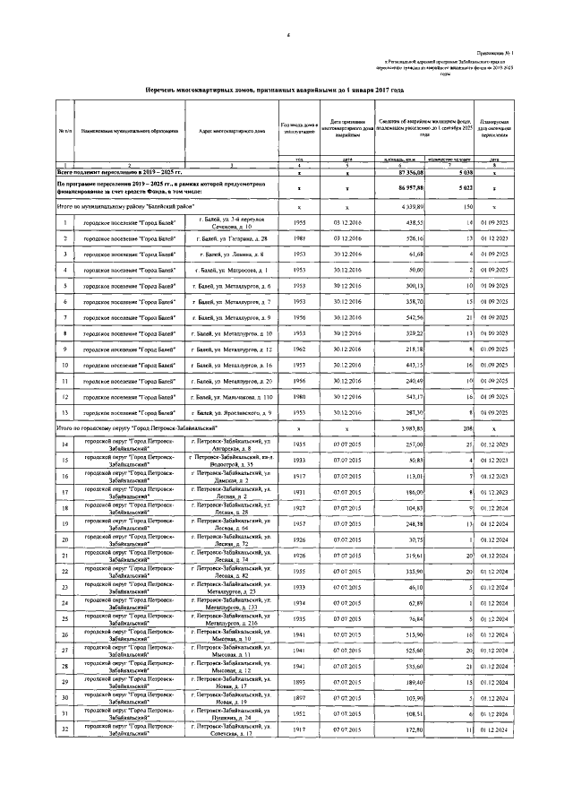
Постановление Правительства Забайкальского края от 30.12.2019 № 524
"О внесении изменений в постановление Правительства Забайкальского края от 11 апреля 2019 года № 124 "Об утверждении Региональной адресной программы Забайкальского края по переселению граждан из аварийного жилищного фонда на 2019–2025 годы"
Номер опубликования: 7500201912310009
Дата опубликования: 31.12.2019
Страница №6 из 24:
Увеличить