Постановление Правительства Забайкальского края от 16.12.2019 № 489
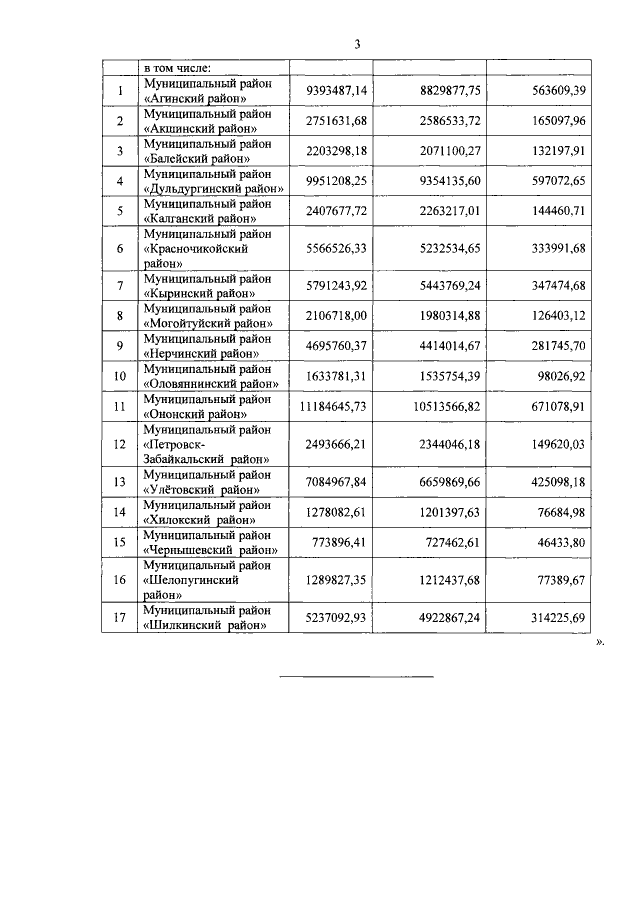
"О внесении изменений в постановление Правительства Забайкальского края от 26 марта 2019 года № 90 "О распределении в 2019 году средств субсидий из бюджета Забайкальского края бюджетам муниципальных районов Забайкальского края на реализацию мероприятий по улучшению жилищных условий граждан, проживающих в сельской местности, в том числе молодых семей и молодых специалистов"
"О внесении изменений в постановление Правительства Забайкальского края от 26 марта 2019 года № 90 "О распределении в 2019 году средств субсидий из бюджета Забайкальского края бюджетам муниципальных районов Забайкальского края на реализацию мероприятий по улучшению жилищных условий граждан, проживающих в сельской местности, в том числе молодых семей и молодых специалистов"
Номер опубликования: 7500201912160002
Дата опубликования:
16.12.2019
