Официальное опубликование правовых актов
ОФИЦИАЛЬНОЕ ОПУБЛИКОВАНИЕ
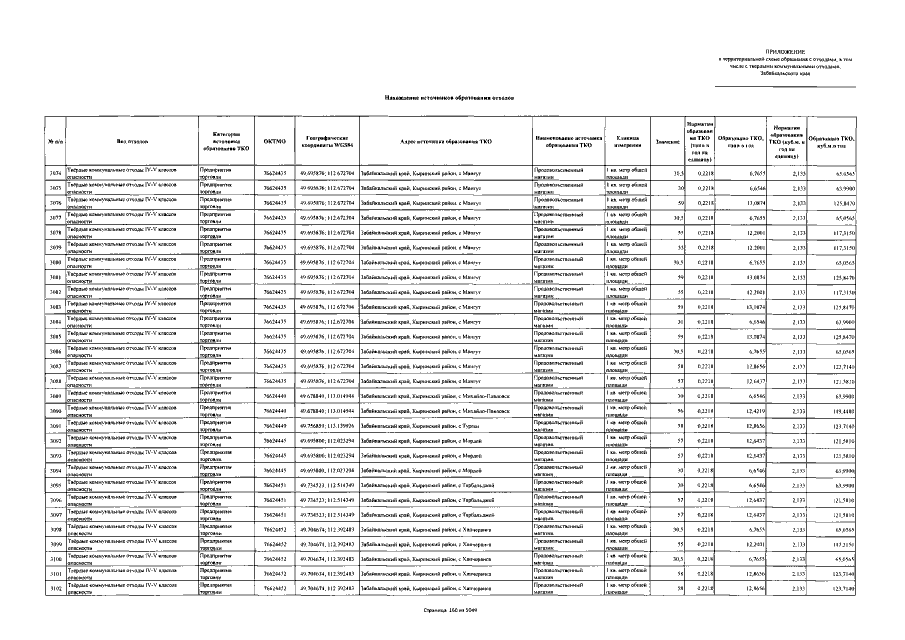
Постановление Правительства Забайкальского края от 05.11.2019 № 430
"Об утверждении территориальной схемы обращения с отходами Забайкальского края"
Номер опубликования: 7500201911130004
Дата опубликования: 13.11.2019
Страница №328 из 7044:
Увеличить