Постановление Правительства Забайкальского края от 05.09.2019 № 351
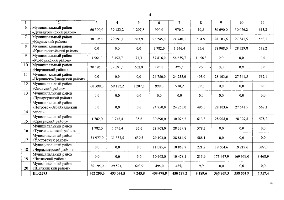
"О внесении изменений в приложение к постановлению Правительства Забайкальского края от 26 марта 2019 года № 87 "О распределении средств субсидий, выделяемых в 2019-2021 годах из бюджета Забайкальского края бюджетам муниципальных районов и городских округов Забайкальского края на создание дополнительных мест для детей в возрасте от 1,5 до 3 лет в образовательных организациях, осуществляющих образовательную деятельность по образовательным программам дошкольного образования"
"О внесении изменений в приложение к постановлению Правительства Забайкальского края от 26 марта 2019 года № 87 "О распределении средств субсидий, выделяемых в 2019-2021 годах из бюджета Забайкальского края бюджетам муниципальных районов и городских округов Забайкальского края на создание дополнительных мест для детей в возрасте от 1,5 до 3 лет в образовательных организациях, осуществляющих образовательную деятельность по образовательным программам дошкольного образования"
Номер опубликования: 7500201909060001
Дата опубликования:
06.09.2019
