Официальное опубликование правовых актов
ОФИЦИАЛЬНОЕ ОПУБЛИКОВАНИЕ
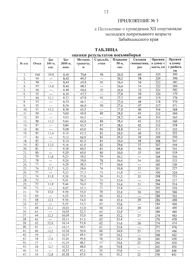
Распоряжение Правительства Забайкальского края от 15.03.2019 № 70-р
"О проведении XII спартакиады молодежи допризывного возраста Забайкальского края"
Номер опубликования: 7500201903190005
Дата опубликования: 19.03.2019
Страница №13 из 15:
Увеличить