Официальное опубликование правовых актов
ОФИЦИАЛЬНОЕ ОПУБЛИКОВАНИЕ
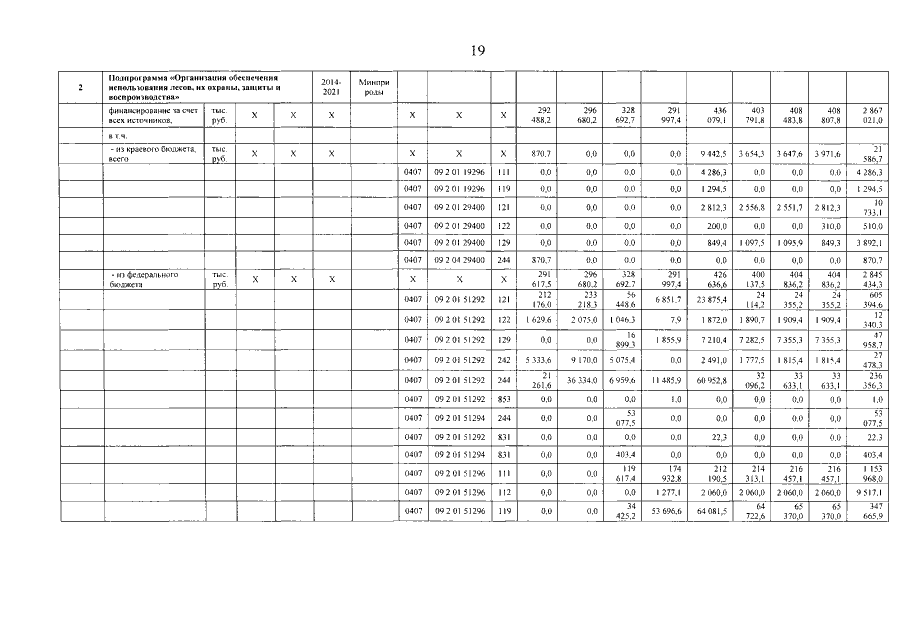
Постановление Правительства Забайкальского края от 25.09.2018 № 403
"О внесении изменений в постановление Правительства Забайкальского края от 18 июля 2014 года № 404 "Об утверждении государственной программы Забайкальского края "Развитие лесного хозяйства Забайкальского края на 2014–2020 годы"
Номер опубликования: 7500201810030013
Дата опубликования: 03.10.2018
Страница №19 из 33:
Увеличить