Официальное опубликование правовых актов
ОФИЦИАЛЬНОЕ ОПУБЛИКОВАНИЕ
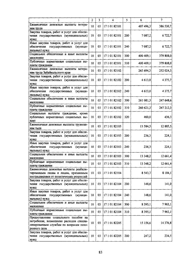
Закон Забайкальского края от 24.04.2018 № 1580-ЗЗК
"О внесении изменений в Закон Забайкальского края "О бюджете Забайкальского края на 2018 год и плановый период 2019 и 2020 годов"
Номер опубликования: 7500201804250002
Дата опубликования: 25.04.2018
Страница №260 из 697:
Увеличить