Официальное опубликование правовых актов
ОФИЦИАЛЬНОЕ ОПУБЛИКОВАНИЕ
Постановление Правительства Забайкальского края от 22.03.2018 № 93
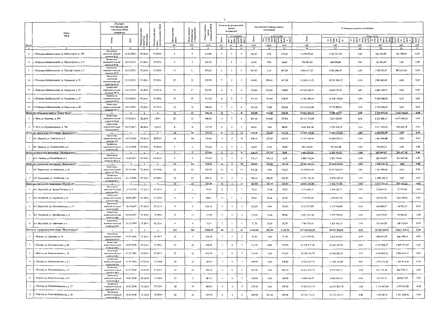
"О внесении изменений в постановление Правительства Забайкальского края от 31 декабря 2013 года № 606 "Об утверждении Региональной адресной программы Забайкальского края по переселению граждан из аварийного жилищного фонда на 2013–2017 годы"
Номер опубликования: 7500201803230001
Дата опубликования: 23.03.2018
Страница №7 из 32:
Увеличить