Официальное опубликование правовых актов
ОФИЦИАЛЬНОЕ ОПУБЛИКОВАНИЕ
Постановление Правительства Забайкальского края от 28.07.2017 № 320
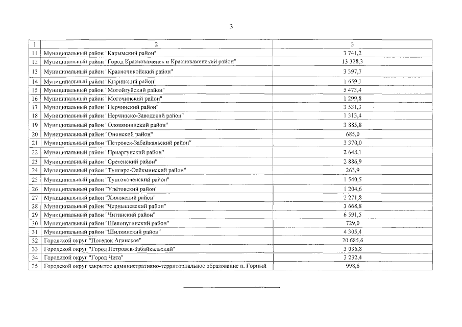
"О распределении средств краевого бюджета бюджетам муниципальных районов и городских округов на обеспечение государственных гарантий реализации прав на получение общедоступного и бесплатного дошкольного образования в муниципальных дошкольных образовательных организациях"
Номер опубликования: 7500201707280003
Дата опубликования: 28.07.2017
Страница №3 из 3:
Увеличить