Официальное опубликование правовых актов
ОФИЦИАЛЬНОЕ ОПУБЛИКОВАНИЕ
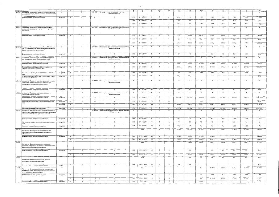
Постановление Правительства Забайкальского края от 31.03.2017 № 120
"О внесении изменений в государственную программу Забайкальского края "Социальная поддержка граждан на 2014-2020 годы", утвержденную постановлением Правительства Забайкальского края от 10 июня 2014 года № 328"
Номер опубликования: 7500201704050007
Дата опубликования: 05.04.2017
Страница №18 из 45:
Увеличить