Официальное опубликование правовых актов
ОФИЦИАЛЬНОЕ ОПУБЛИКОВАНИЕ
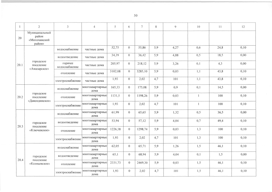
Постановление Губернатора Забайкальского края от 09.12.2016 № 98
"О предельных (максимальных) индексах изменения размера вносимой гражданами платы за коммунальные услуги в муниципальных образованиях Забайкальского края на 2017-2018 годы"
Номер опубликования: 7500201612120001
Дата опубликования: 12.12.2016
Страница №50 из 86:
Увеличить