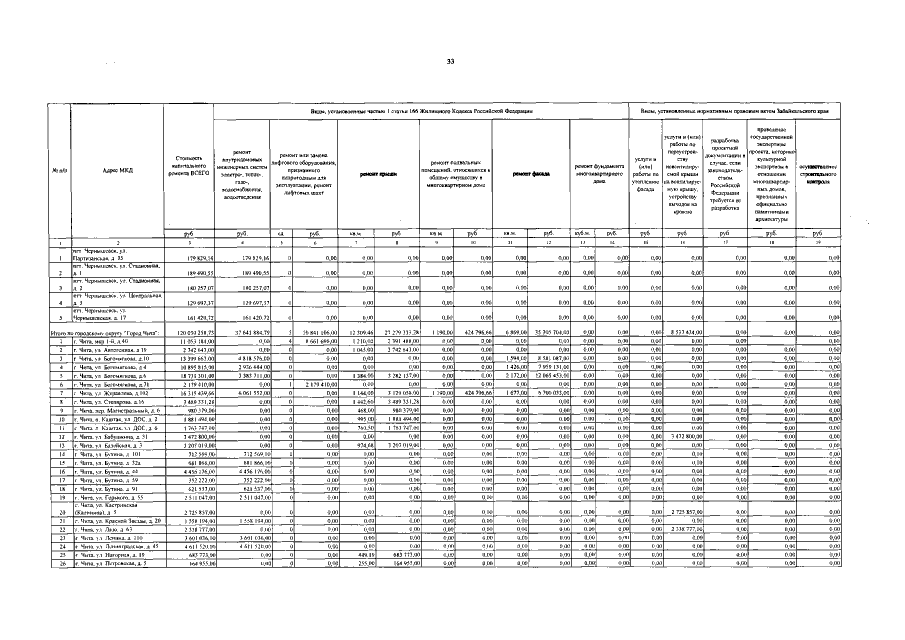
Постановление Правительства Забайкальского края от 14.06.2016 № 264
"О внесении изменений в Региональный краткосрочный план реализации Региональной программы капитального ремонта общего имущества в многоквартирных домах, расположенных на территории Забайкальского края, на 2016-2017 годы, утвержденный постановлением Правительства Забайкальского края от 28 марта 2016 года № 111"
"О внесении изменений в Региональный краткосрочный план реализации Региональной программы капитального ремонта общего имущества в многоквартирных домах, расположенных на территории Забайкальского края, на 2016-2017 годы, утвержденный постановлением Правительства Забайкальского края от 28 марта 2016 года № 111"
Номер опубликования: 7500201606170005
Дата опубликования:
17.06.2016
