Официальное опубликование правовых актов
ОФИЦИАЛЬНОЕ ОПУБЛИКОВАНИЕ
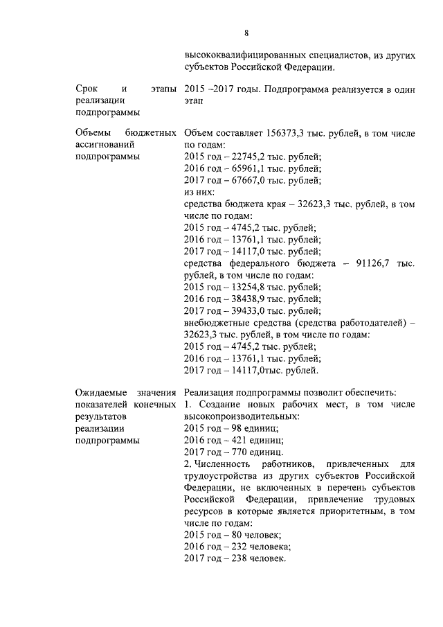
Постановление Правительства Забайкальского края от 13.11.2015 № 553
"О внесении изменений в государственную программу Забайкальского края "Содействие занятости населения на 2014–2020 годы", утвержденную постановлением Правительства Забайкальского края от 01 августа 2014 года № 457"
Номер опубликования: 7500201511170011
Дата опубликования: 17.11.2015
Страница №8 из 47:
Увеличить