Официальное опубликование правовых актов
ОФИЦИАЛЬНОЕ ОПУБЛИКОВАНИЕ
Постановление Губернатора Забайкальского края от 15.07.2015 № 69
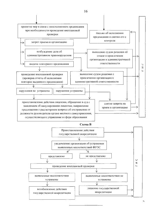
"О внесении изменений в административный регламент Министерства образования, науки и молодежной политики Забайкальского края по исполнению государственной функции "Государственный контроль (надзор) в сфере образования за деятельностью организаций, осуществляющих образовательную деятельность на территории Забайкальского края (за исключением организаций, указанных в пункте 7 части 1 статьи 6 Федерального закона от 29 декабря 2012 года № 273-ФЗ "Об образовании в Российской Федерации"), а также органов местного самоуправления, осуществляющих управление в сфере образования на соответствующей территории", утвержденный постановлением Губернатора Забайкальского края от 12 ноября 2014 года № 64"
Номер опубликования: 7500201507170002
Дата опубликования: 17.07.2015
Страница №16 из 16:
Увеличить