Официальное опубликование правовых актов
ОФИЦИАЛЬНОЕ ОПУБЛИКОВАНИЕ
Постановление Губернатора Забайкальского края от 03.03.2015 № 18
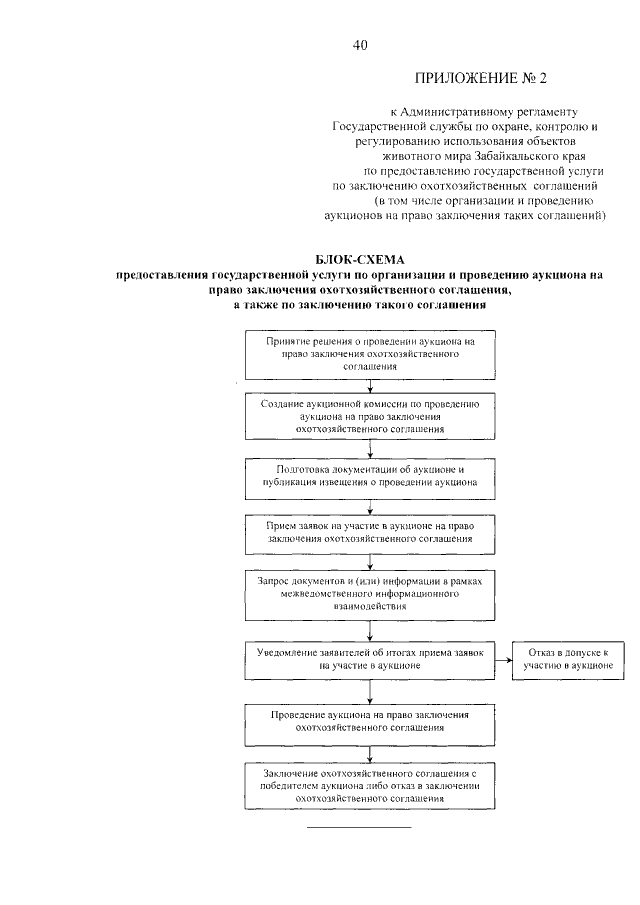
"Об утверждении Административного регламента Государственной службы по охране, контролю и регулированию использования объектов животного мира Забайкальского края по предоставлению государственной услуги по заключению охотхозяйственных соглашений (в том числе организации и проведению аукционов на право заключения таких соглашений)"
Номер опубликования: 7500201503050001
Дата опубликования: 05.03.2015
Страница №40 из 41:
Увеличить