Официальное опубликование правовых актов
ОФИЦИАЛЬНОЕ ОПУБЛИКОВАНИЕ
Приказ Министерства финансов Челябинской области от 09.10.2024 № 40-НП
"О внесении изменений в приказ Министерства финансов Челябинской области от 31.12.2019 г. № 52-НП"
(Зарегистрирован 10.10.2024 № 219)
Номер опубликования: 7401202410100001
Дата опубликования: 10.10.2024
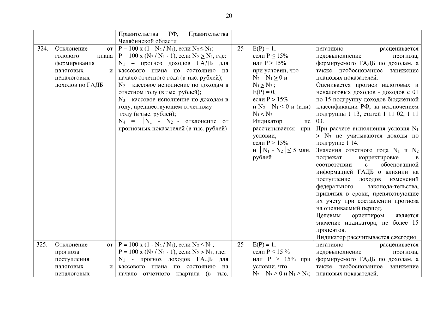
Страница №22 из 35:
Увеличить