Официальное опубликование правовых актов
ОФИЦИАЛЬНОЕ ОПУБЛИКОВАНИЕ
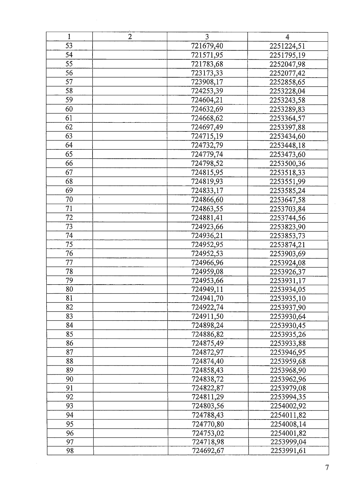
Закон Челябинской области от 04.03.2026 № 19-ЗО
"О внесении изменений в Закон Челябинской области "О статусе и границах Верхнеуфалейского городского округа Челябинской области"
Номер опубликования: 7400202603050003
Дата опубликования: 05.03.2026
Страница №7 из 17:
Увеличить